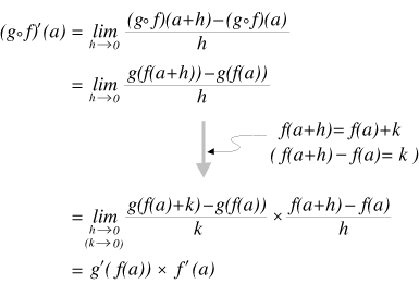
合成関数の微分