Up 正規分布の導出 作成: 2014-06-09
更新: 2014-06-10


  1. ベル型の関数として,つぎのものを考える:


  2. つぎのように変形:
    • 中心をμに設定
    • 幅を決める定数Dを設定


        Dの値によって,幅が変化:

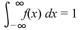
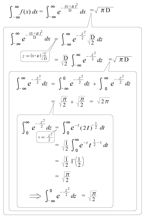
  3. f(x) を確率分布に変えていく──即ち,つぎの条件を満たすように変えていく:

    ここで,
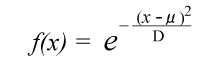
    よって,f をつぎの関数に取り直すとよい:


      D の値によって,幅・高さが変化:

  4. 平均はμになっている:E(x) =μ


  5. 分散をσ2 にする:E((x−μ)2) =σ2



      よって,D=2σ2 であればよい。

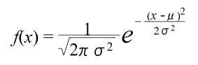
  6. こうして,最終的につぎの関数を得る: