Up 分散の計算 作成: 2014-06-12
更新: 2014-06-12


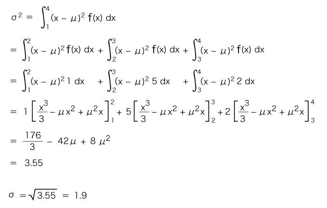
    つぎのヒストグラムに示される度数分布に対し,これの分散σ2 を計算する。
    (註:この文脈になる「分散」の意味は,「加重平均型分散」である。)


      平均μは,「平均の計算」のところで求めていて,それは 2.6:


      分散σ2 は,「分散」の定義から:

      これを計算すると:



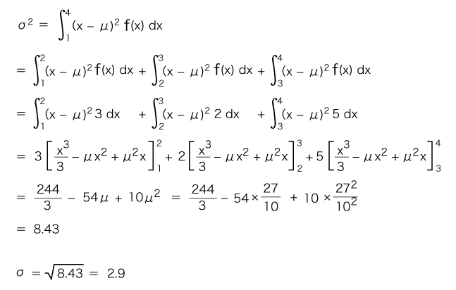
    つぎの分布は,上の分布と平均が近い値になる:


    一方,分散の値は,だいぶ違ってくる: